| 时间:2021-07-12 | 编辑:E航网 | 阅读:987 | 分享: |
一、选择题(本大题共10小题,每小题4分,共40分.在每小题给出的四个选项中,只有一项是符合题目要求的,请将正确答案填涂在答题纸上的相应位置.)
1.下列函数中,最小正周期为π的是( )
A)y=1/2sinx B)y=sin1/2x C)y=cos(x+π/4) D)y=1/2tanx
[答案]D
[解析]正弦和余弦函数的周期为T=2π/ω,选项A、B、C的最小正周期分别为2π、4π和2π。正切函数的最小正周期为π,故选D。
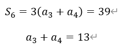
2.已知等差数列{an}的前n项和为Sn,且S6=39,则a3+a4=( )
A)31 B)12 C)13 D)52
[答案]C
[解析]根据等差数列的性质,
即a3+a4的值为13,故选C。
3.某单位对某村的贫困户进行“精准扶贫”,若甲、乙贫困户获得扶持资金的概率分别为2/3和3/5,两户是否获得扶持资金相互独立,则这两户中至少有一户获得扶持资金的概率为( )
A)2/15 B)2/5 C)13/15 D)8/15
[答案]C
[解析] 设事件A为甲获得扶持资金,事件B为乙获得扶持资金。则甲、乙两户至少有一户获得扶持资金的概率为,
即值为13/15,故选C。
4.现有甲、乙、丙三种树苗可供选择,分别种在一排五个坑中,要求相同的树苗不能相邻,第一、五坑内只能种甲种树苗,则不同的种法共有( )
A)4种 B)5种 C)6种 D)7种
[答案]C
[解析]按照第三坑所种树苗的种类,分为两类:甲种和非甲种。如图所示,共有4+2=6种种法。
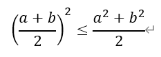
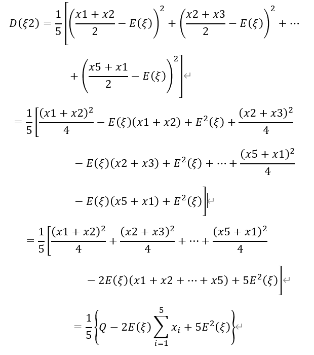
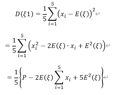
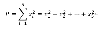
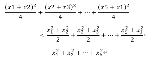
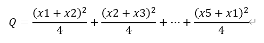
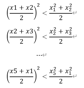
5.设10≤x1<x2<x3<x4≤104,x5=105,随机变量ξ1取值x1,x2,x3,x4,x5的概率均为0.2,随机变量ξ2取值x1+x2/2,x2+x3/2,x3+x4/2,x4+x5/2,x5+x1/2的概率也均为0.2,若记D(ξ1),D(ξ2)分别为ξ1,ξ2的方差,则( )
A) D(ξ1)>D(ξ2) B) D(ξ1)=D(ξ2)
C) D(ξ1)<D(ξ2) D) D(ξ1)与D(ξ2)的大小关系与x1,x2,x3,x4的取值有关
[答案]A
[解析]随机变量ξ1的数学期望为,
随机变量ξ2的数学期望为,
即它们的数学期望相等,记为E(ξ)。于是,
随机变量ξ1的方差为,
其中
随机变量ξ2的方差为,
其中
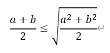
于是,比较D(ξ1)与D(ξ2)的大小,转化为比较P和Q的大小。
根据均方均值不等式,其中a>0,b>0
当且仅当a=b时取等号。
因此有
对于10≤x1<x2<x3<x4≤104,x5=105,则有
将上述各式相加,有
即Q<P,从而D(ξ1)>D(ξ2),故选A。
6.若tanα=2,tan(α-β)=2,则tan(β-2α)=( )
A)12/5 B)-12/5 C)4/3 D)-4/3
[答案]C
[解析]根据两角差的正切公式有,
再根据诱导公式有
即值为4/3,故选C。
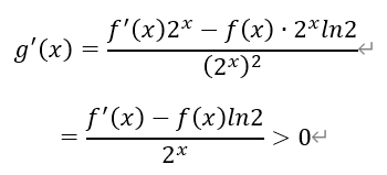
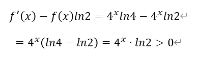
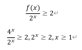
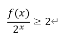
7.设定义在R上的函数f(x)的导函数为f′(x),且满足f′(x)-f(x)ln2>0,f(1)=4,则不等式
的解集为( )
A)[1,2] B)[1,+∞) C)(-∞,1] D)(0,1]
[答案]B
[解析]构造函数g(x),
对g′(x)求导得,
因此g(x)在R上单调递增。
则不等式
等价于
由函数g(x)的单调性可知,其解集为
即x∈[1,+∞),故选B。
[别解]构造模特函数f(x)=4x,则有
且f(1)=4,满足条件。于是不等式的解集为
即也有x∈[1,+∞)。
8.已知函数f(x)=cos2x,x∈[a,b],则“b-a≥π/2”是“f(x)的值域为[-1,1]”的( )
A)充分而不必要条件 B)必要而不充分条件
C)充分必要条件 D)既不充分也不必要条件
[答案]B
[解析]根据三角函数f(x)=cos2x的图像可知,当“f(x)的值域为[-1,1]”时,即能取到最大值1和最小值-1,定义域的宽度一定大于T/2,即π/2。因此必要性成立。
但是“b-a≥π/2”时,例如a=-π/4,b=π/4,只能取到最大值1,取不到最小值-1。因此充分性不成立。
综上,“b-a≥π/2”是“f(x)的值域为[-1,1]”的必要而不充分条件,故选B。
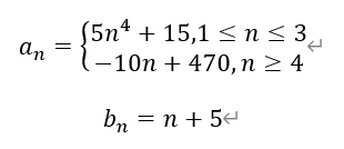
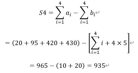
9.根据预测,某地第n(n∈N*)个月共享单车的投放量和损失量分别为an和bn(单位:辆),其中
则该地第4个月底的共享单车的保有量为( )
A)421 B)451 C)439 D)935
[答案]D
[解析]由已知得,前4个月的投放量分别为,
因此,该地第4个月底的共享单车的保有量为,
即值为935,故选D。
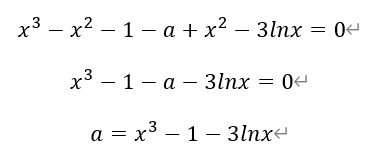
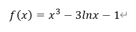
10.若函数y1=x3-x2-1-a,(x∈[1/e,e],e为自然对数的底数)与y2=x2-3lnx的图象上存在两组关于x轴对称的点,则实数a的取值范围是( )
A)(0,1/e3+2] B)[0,e3-4]
C)(1/e3+2,e3-4] D)(1/e3+2,+∞)
[答案]A
[解析]由于函数y1和y2的图象上存在关于x轴对称的点,所以y1+y2=0,即
构造函数f(x),
其中x∈[1/e,e]。
这样的点有两个,等价于函数y=f(x)与y=a有两个交点。
对函数f(x)求导得,
由于x∈[1/e,e],所以令f′(x)=0,解得x=1。
当x变化时,f(x)和f'(x)变化情况如下:
x | (1/e,1) | 1 | (1,e) |
f'(x) | - | 0 | + |
f(x) | ↘ | 极大 | ↗ |
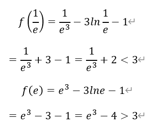
函数f(x)在(1/e,1)上单调递减,在(1,e)上单调递增。因此函数f(x)的最小值为f(1)
又由于,
所以f(1/e)<f(e),即函数f(x)的最大值为f(e)。
从而使得函数y=f(x)与y=a有两个解的a的取值范围为(0,1/e3+2],故选A。
二、填空题(本大题共5小题,每小题5分,共25分.请把结果填在答题纸上的相应位置.)
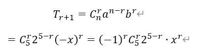
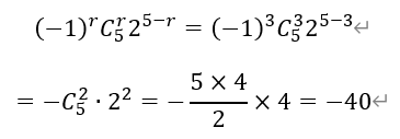
11.在(2-x)5的展开式中,x3的系数为_____________.(用数字作答)
[答案]-40
[解析]根据二项式定理的通项公式有,
由于r=3,所以其系数为,
即值为-40。
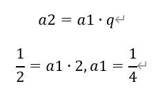
12.已知数列{an}是公比为2的等比数列,其前n项和为Sn,a2=1/2,则an__________;S5=__________.
[答案]2n-3,n∈N*;31/4
[解析]设数列{an}的首项为a1,公比为q,则有q=2,a2=1/2。因此,
通项公式为,
其中n∈N*。
前5项的和为,
13.已知某电脑卖家只卖甲、乙两个品牌的电脑,其中甲品牌的电脑占70%,甲品牌的电脑中,优质率为80%;乙品牌的电脑中,优质率为90%.从该电脑卖家中随机购买一台电脑:(1)则买到优质电脑的概率为____________,(2)若已知买到的是优质电脑,则买到的是甲品牌电脑的概率为___________.(精确到0.1%).
[答案]0.83;67.5%
[解析]设事件A1为购买的电脑为甲品牌,事件A2为购买的电脑为乙品牌,事件B为购买的电脑为优质产品。则有
即事件A1、A2构成完备事件组。
根据全概率公式,事件B的概率为,
又根据贝叶斯公式,事件B发生时事件A的概率为,
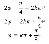
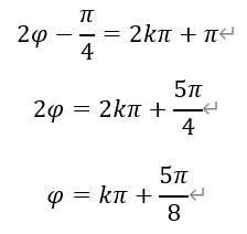
14.若将函数f(x)=sin2x+cos2x的图象向左平移φ(φ>0)个单位,所得的图象关于y轴对称,则常数φ的一个取值为__________.
[答案]π/8
[解析]对函数f(x)进行化简有,
设将函数f(x)的图象向左平移φ个单位后得到的函数为g(x),则有
由于y=cos2x为偶函数,其关于y轴对称,所以
或者
其中k∈Z。
又φ>0,故常数φ的一个取值为π/8。
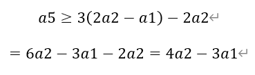
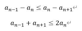
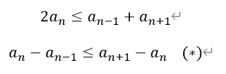
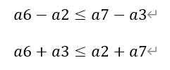
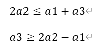
15.已知数列{an}满足不等式2an≤an-1+an+1(其中n∈N*,n≥2),对于数列{an}给出下列五个结论:
①a2-a1≤a3-a2;
②a2+a7≤a3+a6;
③a2+a3≥a6+a7;
④a5≥4a2-3a1;
⑤数列{an}的通项公式可以是an=nlnn.
以上结论正确的有___________.
[答案]①④⑤
[解析]根据已知,移项有
当n=2时有,
因此选项①正确。
当n=3、4、5、6时有,
将以上各式相加,得
因此选项②错误。
又定义相邻两项之间的差为dn,n≥2,
根据(*)式可知,
即dn单调递增,从而an单调递增。于是
因此选项③错误。
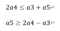
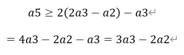
将所给表达式变形,有
以及
因此有,
还有
继续代入得,
因此选项④正确。
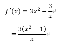
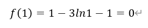
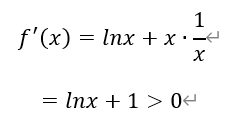
假设an的通项公式为an=nlnn,n∈N*。
考虑函数f(x),
其中x∈N*。
对函数f(x)求导有,
因此f(x)在定义域内单调递增,即
将上述两式相减得,
满足题设关于数列{an}的性质,因此选项⑤正确。
综上,选项①④⑤正确,选项②③错误,故填入①④⑤。
关注请扫码:
来源:全不知老师
电话:025-85511250 / 85511260 / 85511275
传真:025-85567816
邮箱:89655699@qq.com



