| 时间:2021-08-22 | 编辑:E航网 | 阅读:2198 | 分享: |
点击蓝字“船机帮”关注我们
船机故障心莫慌,遇事不决船机帮
导读
柴油机气缸套是重要部件,直接影响机器的可靠运行和使用寿命。
文章介绍一起由于穴蚀引发的柴油机气缸套漏水故障,根据船舶现场检查情况,基于穴蚀基本理论深入分析引发气缸套穴蚀的几大因素,提出了一些被忽略的细节因素,并对此提出解决方法和建议。
一
故障现象及过程
某轮主机为国产某品牌8320ZC柴油机,缸径320mm,行程380mm,额定功率2941 KW。
2016年V1602航次离开某港口后定速航行中发现N0.2 缸集控室数显缸套水出水温度比其他缸偏高3-4°C,值班轮机员观察机旁水温表后简单认为是传感器测量误差所致。
因该轮淡水压力表在运行中本身就有轻微抖动,亦未过分关注压力表变化。
过后几天里,该缸水温显示一直偏高 3-4°C或 3-5°C,直到到港后再次备车时轮机长发现N0.2 缸示功阀有少量水汽(水雾状)冲出才认识到事态严重。
船员临时吊缸后对气缸盖进行水密试验正常,发现气缸套内壁中上部有一处表面微量渗水痕迹,拆卸缸套后发现缸套外表局部区域大量密集小坑,其中几个小孔构成的孔群最深,与内壁仅“一纸之隔”,用螺丝刀用力一捅即破。
二
故障分析
故障发生后,查阅该主机的运行时间,NO.2 缸缸套使用跨度为2年,但换新后实际运行时间仅为8300多小时。
另据船员反映,该主机上次保养时共更换了包括NO.2 缸在内的3个缸套,使用为非原装厂家备件。
从故障现象观察,应该不属于缸套裂纹类引起的漏水故障,尤其是不属于热应力过大引起的裂纹。
故障发生后船舶管理人员进行原因分析,一致认为是缸套发生了穴蚀现象。
笔者认为在普遍认知的穴蚀基本机理基础之上,还有很多需要关注的细节值得探究。
严格来讲穴蚀应该是电化学腐蚀和空泡腐蚀共同作用的结果,相对空泡腐蚀在实践中体现较为明显。
从拆卸下来的缸套外表面多个区域我们发现成片的密集小孔,表面不光滑但腐蚀产物相对较少,呈黑褐色,与周围色差明显,符合穴蚀的特征。
根据理论描述四冲程柴油机缸套的穴蚀,一般指水套内的冷却水因缸套受活塞侧压力作用而髙频振动时所形成的“气泡”,在气泡爆破时产生猛烈压力冲击波,冲击使其表面缸套产生细小麻点,进而扩展成泡沫或海绵状穴蚀的一种现象。
通过研究穴蚀理论,结合该轮的实际情况,我们发现导致出现缸套穴蚀漏水问题的影响因素有以下几点:
1.缸套冷却水空间气泡产生的“源头”
根据穴蚀理论,缸套冷却水空间的气泡产生多数为振动所致,特别在当活塞位于上止点时对缸套侧压力的作用方向发生变化时。
活塞从缸套的一侧横摆到对面,出现了活塞摆动的现象,由于两者之间间隙随着运行时间增长而不断增加,造成活塞的摆动具有一定冲击性,正是这种冲击引起了缸套的强烈振动。
体现在冷却水腔中为发生交替的膨胀和压缩,使外壁附近水域中产生局部瞬间的真空泡和髙压,在髙真空的作用下一定温度时冷却水即蒸发成气泡。
上述理论自然成立,但我们知道这是四冲程柴油机必然存在的问题,结合本轮实际情况来讲,笔者认为下列几个细节性的因素不容忽视。
(1)气缸套的刚度问题影响气泡产生
船舶备件选购时机务人员往往比较关注缸套的内壁尺寸、表面粗糙度及是否有氮化等处理工艺,而对缸套的刚度等参数较为忽视。
目前柴油机缸套多采用的是上部固定、下支承为配合定位加‘O令’密封圈密封的方法安装。
当缸套产生髙频振动时,使缸套分别在圆周方向呈四节点振动,在纵向上呈半波振动(图1)。
图1 缸套振动分布
这样缸套的刚度直接影响了缸套变形幅度和振动幅度。
刚度大小与材料及缸套壁厚相关,柴油机设计时缸套壁厚δ与缸径D之比有一定的选取范围:
髙速柴油机δ/D=3.5%--6.8%
中速柴油机δ/D=8%--10%
(2)缸套下部密封令弹性对振动影响
提到 “O令”,轮机人员一般考虑到密封不良漏水的问题,根据笔者对从现场换下的密封令观察可以看出,仅使用8300H,密封令已部分硬化定型,且相对脆性较大,甚至在拆取过程中出现断裂。
怀疑密封令质量问题或运行中曾发生过短时 过热引起了橡胶老化,硬化的 “O令”大大降低吸收振动的能力,加剧了缸套振动。
(3)缸套冷却水温度的影响
作为常识,目前轮机员已认识到缸套冷却水温度应控制在70-80°C为宜。
根据现场查看和船员反映,该轮冷却水系统为简单闭式冷却系统,调温阀自动控制功能近半年来已失灵多次,目前改为手动调节状态。
所以在进江机动航行时、冷车启动或突降突加负荷时水温处于频繁变化状态。
在水温偏高时轮机员的手动操作势必会超调,导致温度低于正常值。
过大的温度变化一方面使热应力增加,加剧裂纹的可能,另一方面也使得气泡大量产生。
尤其是在正常航行时,调节到固定温度值相对较难,所以很多时候即使水温略偏低,船员也就当正常使用了,长此以往加剧穴蚀的产生和扩展。
(4)冷却水流道节流的影响
对于缸套穴蚀的分析,不仅要研究分析缸套本身,还应检查与之结合的机体空间。
NO.2 缸套拆卸后,观察到缸套和机体间流道内部有3处片状水垢积存在流道转弯处,多处凸起状结垢附于内腔表面。
冷却水流经内部通道时发生节流形成死水区和涡流区,产生局部降压形成气泡。
片状水垢应是长时间形成产生,主要原因还是冷却水水质及后期未正确投药处理的问题。
(5)缸套与活塞环的间隙影响气泡产生
对于运行8300H的新换缸套来讲,磨损量应该还是比较小的。
但对拆卸下来的缸套进行内径测量,首道环对应上止点位置尺寸分别为和Ф320.57mm和Ф320.43mm。
对照说明书,最大磨损量和磨损率数据都已接近超标值范围,说明缸套活塞环磨损偏大运行时间隙还是略大。
另外不排除廉价缸套与活塞环在运行时期的两种材料膨胀系数不匹配,产生间隙过大问题。
2.冷却空间气泡破裂的冲击力
穴试理论中通常描述:“当空泡收到高压冲击而破裂时,就在破裂区附近产生高压波,它以极短的时间作用在很小的范围内,对缸壁有强烈的破坏能力。”
也即穴蚀中的“蚀”主要发生在众多气泡破裂时对缸套外表面的频繁冲击,“蚀”的程度 取决于两方面:
一是冲击波的能量。
虽然冷却腔内空间产生的多为小气泡,但不可小觑连续、批量气泡破裂的持续冲击力。
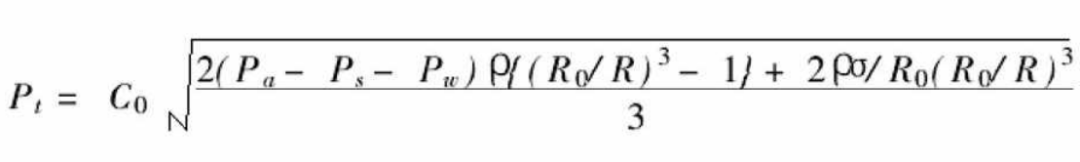
气泡破裂产生的冲击压力可用下式表示:
式中:
Pt:瞬时冲击压力R0,R:气泡半径的初始值和瞬时值,p:冷却液密度,C0:音速,σ:冷却液表面张力。
二是缸套外表面的抗蚀能力。
根据资料显示,一般电化学腐蚀的腐蚀速度为0.05-0.10mm/kh,而穴蚀的速度要快得多,可达1.5-5.0mm/kh,几乎快30~50倍。
这主要取决于缸套外表面的硬度和防护能力。
硬度方面考虑气缸套材质中含石墨量的不同,含量过大及分布不均匀,会使局部抗冲击能力减弱。
防护方面很多轮机员直观的认为无非是 “镀”和“涂”,如现有的经验表明,例如12V180 型柴油机在缸套外表面镀铬,8300型柴油机在机体冷却水腔表面涂环氧树脂胶水等工艺收到了良好效果。
但很多轮机人员往往忽视了另一种防护,缸套冷却水处理剂中加人缓蚀剂,例如乳化油缓蚀剂或被膜缓蚀剂可以使缸套外表面形成一层较薄的连续的保护膜,减弱空泡破裂时的冲击力。
当轮机管理人员疏于水质化验处理环境下,相当于弱化了缸套的抗蚀能力,加剧了穴蚀扩展。
三
故障处理
1.对于穴蚀小孔厚度已超标的缸套应立即换新
如缸套穴蚀成片出现,即几个穴蚀连在一起,则也应更换新缸套。
2.对于表面存在局部、少量浅孔的缸套,为节约成本可以经修理后留作备件
(1)常规修理工艺
常规修理可以使用手持磨光机打磨直至露出光亮的金属表面,要求尽量光滑,平整。
然后可选用丙酮清洗,再使用胶黏剂修补,待完全固化后适当加工作备。
具体修补工艺过程可以细化为:
刷净水垢、打磨、丙酮清洗、加温、调胶、修补、固化、加工等。
(2)维修注意事项
修理时应注意:
①缸套表面务必清理干净,去油去沫并确保平整;
②胶黏剂配比合理,根据环境温度适当调整比例,未完全固化不得投人使用;
③ 缸套安装时错位应90°以上。
3.其他预防修正措施
尽快修复冷却水系统自动调温阀,发挥其PID 自动调节功能。
主管轮机员严格按照质量管理体系的要求对冷却水定期化验和投药,并按照说明书给出的指导公式计算投药量。
鉴于NO.2缸的情况,建议提前更换同批次的密封令,密切跟踪另外缸的穴蚀发展情况尤其是前次换新的该批缸套。
日常吊缸检修时注意检查冷却水腔,及时清理积存的水垢防止其扩大后堵塞水流通道。
尽量选用原厂备件,选用替代产品时除关注尺寸精度外多关注材料性能。
轮机值班人员要建立充分的情景意识,及时发现故障征兆,并对征兆进行关联研究,及时采取相应措施,减轻损失。
四
结语
上述故障初看是一起简单的穴蚀引起的缸套漏水故障,但深入研究我们发现其实这也是一起综合性故障,既有管理上人为因素的原因,也有备件选用的客观原因。
因此作为轮机管理人员不仅需要在一线管理中加强值班,提前发现故障征兆。
更需要各值班轮机员积累轮机专业知识,加强关联研究,提升情景意识。
岸基管理部门则在备件供应过程中考虑部件材料问题和适用性问题,实施替代部件使用后的跟踪管理,及时了解船舶使用状态。
本文原创作者系:
浙江国际海运职业技术学院
袁 对 陈建良
END
感谢阅读和关注
Thanks for reading and attention
感谢分享朋友圈
或点击“在看”
因为有你,
我们会更努力!
来源:船机帮
电话:025-85511250 / 85511260 / 85511275
传真:025-85567816
邮箱:89655699@qq.com



