| 时间:2022-02-05 | 编辑:E航网 | 阅读:2499 | 分享: |
点击蓝字“船机帮”关注我们
船机故障心莫慌,遇事不决船机帮
导读
机舱通风设计和计算是船舶设计中比较重要的一环,风量计算是风机选型和各区域风量分配的基础,计算应确保总风量充足以满足所有设备散热和燃烧的需求。
系统设计中应各附件选型合理,满足船级社和国际公约的要求,管路及附件采用合理的风速使系统管路阻力与风机能力相匹配,必要时应进行阻力计算。
系统设计应保证达到设计风量并能通过现场风量测试,通过调节装置使各区域的风 量达到设计值。
本文将船检和船东针对机舱通风经常提出的意见以及设计人员容易出现的若干问题作了总结,期望同行们能够从中受益。
一
风量计算
进行机舱通风计算时,经常有设计人员或船东对锅炉风量计算存在误解。
锅炉通常布置在机舱平台上或者机舱棚内。
当布置在平台甲板上时,风量的计算是毋庸置疑的,包括燃烧和散热这两部分所需风量;当锅炉布置在机舱棚内时,很多设计人员一般只计算燃烧所需风量,散热所需风量则忽略未计,而船东则会在没有了解计算标准[1]的情况下要求燃烧和散热风量必须都计算。
出现上述情况的根本原因在于没有真正把标准研究透彻。
在标准的第 5.2.4 条中,给出了锅炉所需燃烧风量的计算,并且是没有任何附加说明的 ;而在第 6.7 条“关于锅炉散热所需风量计算”中,则有一句说明,即 “位于机舱棚和烟囱内的排气管和锅炉可以不必考虑”,这就容易造成设计人员硬套标准,只计算燃烧风量而不计算散热风量。
事实上,在标准的第 5.1 条明确指出,对于机舱棚和烟囱内的所有设备,燃烧风量和设备散热都可以不用考虑,原因就是机舱通风通常采用机械送风自然排风,大量的排风会流经机舱棚和烟囱然后从烟囱上的百叶窗排到大气, 这么大的风量显然足以保证锅炉燃烧所需风量以及带走锅炉的散热。
这里仅讨论严格的执行标准,如果经各方认可,燃烧及散热所需风量都计入总风量,在实际项目中是可行的。
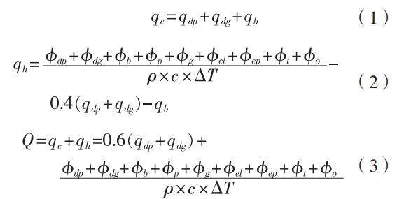
根据标准中燃烧所需风量和设备散热所需风量的公式,将燃烧所需风量和散热所需风量相加,可得机舱总风量为所有设备的散热所需风量与 0.6 倍主机发电机燃烧风量之和,见式(1)— 式(3)。
从中我们得到两点结论:
(1)总风量并非所有设备燃烧和散热所需风量的总和,主机和发电机燃烧风量打了折扣,这是从吸热升温后的空气再去燃烧这个角度来考虑的 ;
(2)以上公式中没有锅炉燃烧所需风量,也就是说无论是否计算锅炉的燃烧风量,对总风量的数值是没有影响的,即对风机的选型没有影响。
二
通风进出口
机舱属于 A 类机器处所,规范要求 A 类机器处所的通风应保证在任何海况下有充足的通风以维持机器的安全运转和船员的舒适[2]。
通俗地讲,通风进出口应是常开的,即不需要风雨密关闭装置。
按照载重线公约[3]的要求,在位置 1 的通风口, 其围板需高出甲板 4.5 m 以上;
在位置 2 的通风口,其围板需高出甲板 2.3 m 以上。
从防火的角度讲,根据 SOLAS 要求,所有通风系统的主要进气口和出气口都应能从通风处所的外部关闭[2]。
规范理解清楚后,可知机舱通风进出口是不需要配置风雨密关闭装置的,但需要配置防火关闭装置。
机舱通风进出口通常布置百叶窗,防火关闭装置最简单的就是直接配一个盖子即可,但是需要考虑以下几个方面:
(1)操作是否方便,尤其是布置在烟囱上的出风百叶窗;
(2)是否有布置空间,因为这个盖子是常开的;
(3)百叶窗的强度,当百叶窗尺寸较大时,对铰链的强度要求比较高,必要时需与百叶窗厂商确认。
图1 机舱通风进风口关闭装置
防火关闭装置还有以下几种型式:
对于进风口,由于风机通常是布置在风机室内的,风机室围壁上装无盖百叶窗,可在风机的进口装盖子或者风机出口装防火关闭装置,这两种方法如上图所示,通常为气动或电动型式,也可手动操作。
对于出风口,可以采用调节百叶窗的叶片来达到关闭的目的,通常为气动或电动型式,同时可手动操作,手动操作可以通过钢丝绳和滑轮等组件来实现。
关于防火关闭装置,规范的要求是:
若采用动力驱动控制关闭装置,则需配置额外的独立的动力控制系统或手动控制装置以提高系统的安全性,或者动力驱动控制关闭装置需为失效安全型[4]。
失效安全型产品,就电动关闭装置而言,应该是通电时开启,断电时关闭。
因为失火时关闭装置的电缆可能会被烧断,一旦烧断,应能使关闭装置得以关闭。
如果关闭装置需要通电才能关闭,那么一旦电缆被烧断,关闭装置将无法关闭。
对于其他动力源,则可参照以上思路或者咨询船级社。
三
主机增压器风量分配
图纸审查时,几乎所有船东都要求有单独的风口对增压器送风。
有船东指出其之前监造的船舶由于没有设置这样的送风口或风量过小而造成主机启动困难。
笔者也认为设置单独的送风口到增压器是非常有必要的。
MAN B&W 相关研究[5]指出:
主机燃烧过程中确保约 50% 燃烧所需风量能送到主机顶部靠近增压器进口处,否则会对主机产生负面影响。
MAN 进一步指出,增压器进口空气温度每上升10℃,主机油耗将上升0.7% ;
送风靠近增压器会降低增压器空气滤器的恶化程度(空气中的油烟所致)。
需要注意的是,上述的50%是推荐值,而非强制要求,并且不同的机型该值也有差异。
笔者的设计中,该值通常能达到 20~30%。
如送到增压器 的风量过大,将会影响到送至其他各区域的风量分配,这时应相应提高总风量,这在设计初期需有所考虑。
四
机舱水雾对风口的影响
SOLAS 关于固定式水基局部灭火系统给出了相应的要求,指出其可用于保护下列区域 :
(1)船舶主推进和发电机所用的内燃机上有失火危险的部分;
(2)锅炉正面 ;
(3)焚烧炉有失火危险的部分 ;
(4)加热燃油的净化器[2]。
《Revised Guidelines for the Approval of Fixed Water-Based Local Application Fire-Fighting Systems for Use in Category A Machinery Spaces》(MSC.1/ Circular.1387)进一步指出,使用该灭火系统时无需关闭发动机,也无需人员撤离,切断机舱风机或封闭这些处所。
水雾在灭火方面具有以下作用 :
(1)冷却作用。
水雾的蒸发吸去大量热量,使燃烧物迅速降温 ;
(2)窒息作用。
利用水蒸气在燃烧液面上全部覆盖以隔绝空气的补充;
(3)乳化作用。
水对某些液体有乳化作用,某些化学品要求用水雾灭火;
(4)稀释作用。
对某些燃烧液体可进行稀释而灭火[6]。
因此,对于2000总吨及以上的货船,容积超过500m³ 的 A 类机器处所内具有失火危险的区域将设置机舱水雾系统,该系统将通过专用喷嘴喷洒预定分布形状和颗粒大小以及预定速度和密度的水雾。
水滴颗粒越小则蒸发速度越快,灭火效果越好。
然而水滴必须克服空气阻力和一切气流到达燃烧点,所以水滴不能太小,直径在 0.3~1 mm 较适宜。
太大的水滴会使燃烧液体飞溅,增加燃烧危险,而且易下沉到液面以下使冷却作用不大[6]。
根据规范可知,使用水雾灭火时,机舱风机是正常运转的,而这么小的水滴颗粒很容易受到通风影响,一旦有风口对准水雾喷射区域,极有可能影响水雾的覆盖面积,从而无法满足规范要求和通过现场船检的审查。
这就要求送风口的布置应尽量避开水雾的覆盖区域,可采取向下送风的方式而非侧出风方式,风速也应尽量低。
结论:
本文较深入地阐述了机舱通风系统设计中的若干问题,从而能使设计人员更好地理解相关的设计标准和规范,使设计的通风系统更合理,经得起船东、船检和各方人员的推敲。
[参考文献]
[1] ISO 8861-1998, Shipbuilding-Engine-Room Ventilation in Diesel-Engined Ships-Design Requirements and Basis of Calculations[S]. 1998.
[2] 中国船级社 . 国际海上人命安全公约 2009 综合文本 [S]. 北京 :人民交通出版社,2009 :86,133,182.
[3]International Convention on Load Lines:Regulation 19[S]. 1966.
[4] GL Rules & Guidelines. I Part 1 Chapter 21 Section 1 [S]. 2012 :6.
[5] MAN Diesel & Turbo. Influence of Ambient Temperature Conditions on Main Engine Operation of MAN B&W Two Stroke Engines[S]. 2006 :9-10.
[6] 中国船舶工业集团公司 . 船舶设计实用手册轮机分册 [M]. 第 3 版 . 北京 :国防工业出版社,2013 :372.
本文原创作者系:
中交海洋工程船舶技术研究中心有限公司
上海振华重工(集团)股份有限公司
王井丰
END
来源:船机帮
电话:025-85511250 / 85511260 / 85511275
传真:025-85567816
邮箱:89655699@qq.com



