1、巨化股份(002601.SZ):公司为国内制冷剂全产业链布局龙头企业。公司于二代、三代制冷剂领域具备较强竞争力,并拥有PVDF、PVDC、PTFE等氟橡塑成熟产能,未来将有R32、PVDC、PTFE等在建产能继续释放。公司与国家大基金合资中巨芯公司专注于湿电子化学品及电子特气的研发生产,为国内领先的电子化学品生产企业。7月22日,公司公告全资子公司氟化公司吸收合并公司全资子公司巨新公司。2、金石资源(603505.SH):萤石行业龙头,公司萤石规模全国第一,目前萤石保有储量约2700万吨,采矿规模107万吨/年,萤石粉产能约45万吨/年,国内市占率约10%。公司目前矿山分布于浙江、安徽、内蒙等地,贴近下游消费地。中长期看,国内萤石产能集中度低,公司有望继续参与产能整合、扩张规模;受益于制冷剂、含氟精细化工品、氟橡塑的蓬勃发展,萤石总需求向好。短期看,制冷剂需求短期将逐步走出底部,公司在萤石提价周期具备较大业绩弹性。3、永太科技(002326.SZ):锂盐与氟苯精细化工品龙头,受益客户宁德时代放量。公司是医药类、农药类含氟精细化工品龙头,深耕氟苯精细化工品。公司目前在6F、LiFSI、VC等电解液溶质及添加剂方面具备成熟技术与产能。公司在建液体6F项目将大大降低6F生产成本,成为国内第二家掌握液体6F技术的企业,即使在6F景气下行周期依然可以保持较高盈利。4、东岳集团(0189.HK):制冷剂+氟塑料龙头,受益锂电材料PVDF等产品高景气。制冷剂与氟塑料龙头,公司目前拥有1万吨PVDF产能,其中锂电用PVDF产能约有3000吨。在锂电级PVDF方面,国内企业技术虽落后于海外企业,但国内企业掌握原材料R142b的生产,且产能扩张速度高于海外企业。在下游锂电池需求高速增长的背景下,国内PVDF企业有望先于海外公司占领缺口市场。公司是国内PVDF企业中较早介入锂电级PVDF领域的企业之一,在客户认证方面领先同业,将成为较早实现对锂电企业供货的第一梯队。5、三美股份(603379.SH):制冷剂及含氟发泡剂龙头。公司在制冷剂行业深耕多年,产品系列较全,并配套中游HF 13.1万吨。公司自2020年开始布局锂电新材料:2020年与江苏华盛签署LiFSI项目合作协议,2021年8月宣布投资建设6000吨六氟磷酸锂项目,持续向新能源氟材料进军。6、永和股份(605020.SH):公司是制冷剂及氟塑料头部企业,与其他制冷剂龙头相比,公司制冷剂及氟塑料规模虽然不是最大,但是公司拥有萤石矿产8万吨,未来随着萤石行业供应收紧,公司将充分享受萤石布局带来的成本优势。此外,公司在建10.66万吨PVDF、2.8万吨PTFE、7.4万吨R22、1.1万吨R142b、4万吨R32等产能,投产后将提升公司业绩。7、中欣氟材(002915.SZ):含氟精细化工品龙头,深耕氟苯精细化工品。当前公司一方面向上延伸布局萤石矿产(萤石储量90万吨+)降本,一方面横向布局高附加值的PVDF、六氟磷酸钠、BPEF、PEEK等锂电、钠电、光学膜、高端塑料等领域。公司将迎来各业务多点开花的成长态势。8、联创股份(300343.SZ):成功转型氟化工,迎R142b-PVDF高景气。公司2019年公司收购山东华安新材,进军氟化工领域。山东华安新材在制冷剂行业深耕多年,在第四代制冷剂开发上走在行业前列。公司R142b制冷剂配额为全行业最多,未来将成为海外PVDF厂的R142b主要供应商。目前,公司计划投建的8000吨PVDF项目,一期3000吨将于8月试生产,预计于2021年底正式投产,在建PVDF产能为11000吨(二期5000吨+拟定新建6000吨)。

行业跟踪-可再生能源:1月装机同比大增,预计全年迎来高景气
可再生能源“长坡厚雪”,为上游材料带来第二增长曲线。实现碳中和的关键是转换能源结构,提升非化石能源的发电比例。IEA预测全球光伏和风能在总发电量中的占比将从目前的7%提升至2040年的24%。预计国内到2030年风电、光伏累计装机分别将达到720GW、1386GW,年均增速分别为9.8%、18.5%。可再生能源装机大幅提升给上游材料体系带来广阔市场空间。1-2月份光伏及风电装机同比大增。根据国家能源局数据,1~2月,国内光伏新增并网同比增长234%,达到10.86GW;风电新增装机5.73GW,同比增长61%。Q1通常是风电和光伏装机淡季,2022年1-2月呈现淡季不淡的趋势,预计2022年全年装机将呈高增速。
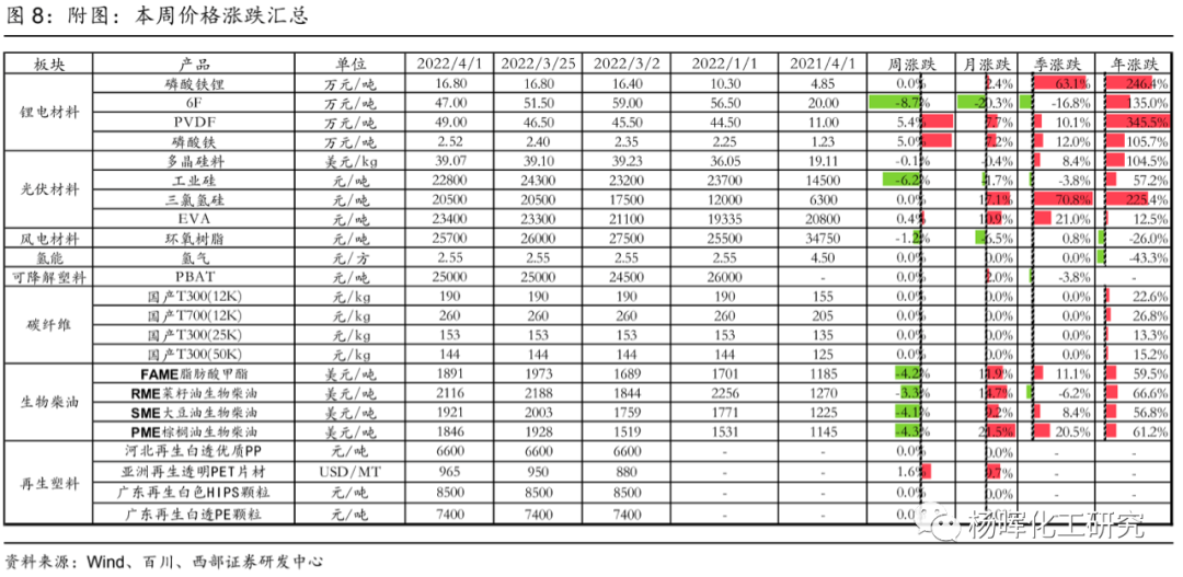
光伏行业:本周 EVA 报价 24300 元/吨,较上周价格上调0.43%,原料醋酸乙烯价格高位坚挺,成本支撑犹存。供应面,联泓新科EVA装置此前因产线改造停车一个月,目前已经复产。需求面,部分地区由于疫情影响开工,整体需求相对清淡。本周三氯氢硅价格环比不变,维持2.05万元/吨。
风电行业:本周环氧树脂市场价格 25500 元/吨,较上周价格下跌 1.92%。供应方面:国内环氧树脂工厂开工负荷降低,工厂库存承压,疫情影响进出货运输,主供合约用户。需求方面:下游整体需求乏力,维持小单刚需补货为主,采买积极性难以提升,实单商谈寥寥。
【行业新闻】
内蒙古“十四五”大力发展光伏发电。3月29日,内蒙古自治区能源局印发《内蒙古自治区“十四五”电力发展规划》,规划提出发展目标:到 2025 年,风电累计装机规模达 8900 万千瓦,光伏累计装机规模达4500 万千瓦。累计建成分散式风电项目约 400 万千瓦、分布式光伏发电规模约 600 万千瓦。新型储能装机力争达到 500 万千瓦以上。(来源:智汇光伏)
风电89GW,内蒙古发布“十四五”电力发展规划。3月29日,内蒙古自治区能源局发布《关于自治区“十四五”电力发展规划的通知》:到2025年,风电累计装机规模达8900万千瓦,光伏累计装机规模达4500万千瓦。(来源:北极星风电网)
山东省发布海上风电地方补贴计划。4月1日,在山东省政府新闻办新闻发布会上,山东省能源局副局长回答记者提问时表示,大力支持海上风电开发建设。对2022—2024年建成并网的“十四五”海上风电项目,省财政分别按照每千瓦800元、500元、300元的标准给予补贴,补贴规模分别不超过200万千瓦、340万千瓦、160万千瓦。2023年底前建成并网的海上风电项目,免于配建或租赁储能设施。允许发电企业投资建设配套送出工程,由电网企业依法依规回购,推动项目早建成、早投产。(来源:北极星风电网)
【公司公告】
联泓新科:公司发布2021年业绩快报,2021年度实现营收75.81亿元,同比增加27.81%;实现归母净利润10.91亿元,同比增加70.24%。
阿科力:公司发布2021年业绩快报,2021年度实现营收8.80亿元,同比增加63.60%;实现归母净利润1.00亿元,同比增加93.97%。
【相关公司】
1、 光威复材(300699.SZ):碳纤维龙头,风电与军工双轮驱动成长下游风电与军工双轮驱动成长。公司是专业从事碳纤维及其复合材料的研发、生产与销售的企业。公司大客户为军工企业,但随着碳纤维在风电上异军突起,公司目前风电碳梁业务占比也举足轻重,形成军品民品双驱动的格局。2020年公司实现营业收入21.16亿元,同比增长23.36%;实现归母净利润6.42亿元,同比增长22.98%。其中军品订单带动公司碳纤维销售业务大幅提升,是公司去年增长的主要来源。而2020年受疫情影响,风电碳梁业务有所下滑。随着碳中和目标提出,公司未来风电业务有望持续快速增长。海上风电提升风机碳纤维用量,国产替代加速公司成长。海上风电对于风机材料性能及使用寿命要求远高于陆上风电。随着海上风电装机占比的提升,碳纤维在风电领域的渗透率将有显著提升。此外,国内海上风电补贴于2021年结束,未来在补贴时代,材料层面的降本将是主旋律,国产碳纤维具有较高的性价比,将迅速取代海外产品。公司作为国内高性能碳纤维的领军企业,将最先享受国产替代趋势。2、 联泓新科(003022.SZ):EVA树脂龙头,未来向DMC、可降解塑料延伸经过多年不断发展,公司现已建成以甲醇为主要原料,生产高附加值产品的烯烃深加工产业链,运行有甲醇制烯烃(DMTO)、乙烯-醋酸乙烯共聚物(EVA)、聚丙烯(PP)、环氧乙烷(EO)、环氧乙烷衍生物(EOD)等多套先进装置,生产运营水平处于行业领先地位。公司EVA光伏胶膜料、EVA电线电缆料,PP薄壁注塑专用料,特种表面活性剂、高性能减水剂等主要产品市场占有率位居细分领域前列。公司目前向可降解塑料、电解液溶剂等领域开拓,将贡献新业绩增量。3、 远兴能源(000683.SZ):未来的纯碱龙头,高速扩产提升利润空间公司目前拥有180万吨纯碱、110万吨小苏打产能,旗下参股的银根矿业在2021年6月取得内蒙古阿拉善塔木素苏木天然碱矿的采矿权,拟配套建设780万吨纯碱与80万吨小苏打,项目建成后公司纯碱产能将从全国第四跃升至全国第一,成为纯碱行业绝对龙头。此外,公司的制碱工艺为天然碱法,成本低廉,具有较强的竞争力。未来随着公司在建产能投放以及光伏装机提升带来的纯碱增量需求释放,预计利润快速增长。4、 海优新材(688680.SH):EVA胶膜头部企业,受益于下游客户格局集中及光伏装机提升公司早期为光纤光缆用封装材料,2008年开始进军EVA胶膜领域,目前光伏胶膜业务收入占比达98%。公司目前与晶科能源、隆基股份、天合光能等头部组件企业建立良好的合作关系。随着光伏装机的提升及组件环节格局的进一步集中,公司将充分受益。5、 中国巨石(600176.SH):玻纤行业龙头,扩产提升利润空间公司是玻纤行业龙头,2009年开始向风电纱、热塑纱、电子纱等领域开拓,2020年公司高端玻纤产品营收占比已经达70%。公司持续扩产提升市占率,目前在建产能包括10万吨电子纱、50万吨无碱纱、6万吨细纱,预计在2022年投产。此外,公司分别在埃及、美国建设20万吨、9.6万吨产能,是国内唯一一家在海外建厂的企业,降低双反政策影响的同时,提升全球市占率。6、 康达新材(002669.SZ):环氧树脂结构胶龙头,受益风电装机提升公司是风电结构胶龙头,主营产品包括聚氨酯胶、环氧树脂结构胶、丙烯酸胶、SBS胶等,下游涵盖风机、复合包装材料等,2017年收购必控科技后进军军工领域的电磁兼容与电源模块领域。实控人为唐山市国资委。风电叶片的使用寿命通常为20年,并且需要在恶劣环境下依然保持正常运行,因此对叶片材料的要求高。公司于2008年实现风电级环氧树脂结构胶的规模化生产,打破海外公司的垄断,目前是国内风电结构胶龙一。预计随着风电装机提升以及风电大型化趋势发展,公司的环氧树脂结构胶业务将迎来快速放量期。7、 阿科力(603722.SH):聚醚胺龙头,首家打破亨斯迈D230技术垄断公司是聚醚胺龙头,目前拥有2万吨聚醚胺产能,在建2万吨聚醚胺产能。公司是国内最先突破聚醚胺合成技术的企业,目前具备生产多牌号聚醚胺的能力,其代表性的D230产品供应国内外风电企业(间接供应),全球风电装机提升,公司最为受益。



行业跟踪-氢能源:氢能产业发展中长期规划(2021-2035)规划出台多项支持政策陆续出台催化氢能产业链,氢能产业链有望加速扩规模、降成本。2021年11月7日,国务院印发《关于深入打好污染防治攻坚战的意见》。意见指出,持续打好柴油货车污染治理攻坚战。深入实施清洁柴油车(机)行动,全国基本淘汰国三及以下排放标准汽车,推动氢燃料电池汽车示范应用,有序推广清洁能源汽车。我国目前已有29个省市区出台了涉及氢能产业发展的政策,超过48座城市发布了氢能政策,推动氢能产业发展。据《中国氢能源及燃料电池产业白皮书》显示,预计2020至2025年间,中国氢能产业产值将达1万亿元,氢能源汽车数量达到5-10万辆;到2030年,氢能产业产值将达到5万亿元,争取实现百万辆氢能源汽车。氢能产业发展中长期规划(2021-2035)规划出台,国家定调氢能产业发展大趋势。3月23日,发改委公布《氢能产业发展中长期规划(2021-2035年)》,对氢能创新体系、基础设施、多元应用、政策保障等方面进行了具体的规划。《规划》指出到2025年,初步建立较为完整的供应链和产业体系,初步建成以工业副产氢和可再生能源制氢就近利用为主的氢能供应体系,燃料电池辆保有量约5万辆,可再生能源制氢量达到10-20万吨/年。到2030年,形成较为完备的氢能产业技术创新体系、清洁能源制氢及供应体系,产业布局合理有序,可再生能源制氢广泛应用。到2035年,形成氢能产业体系,构建涵盖交通、储能、工业等领域的多元氢能应用生态。可再生能源制氢在终端能源消费中的比重明显提升,对能源绿色转型发展起到重要支撑作用。


1、凯赛生物(688065.SH):合成生物学领军者,生物基聚酰胺实现工业化公司目前实现商业化生产的产品主要聚焦聚酰胺产业链,利用生物制造技术在全球率先实现了生物法长链二元酸系列、生物基戊二胺、生物基聚酰胺等生物新材料的产业化。其中,长链二元酸产品以产能计,公司国内市占率近70%;生物基戊二胺产品可突破国际巨头对己二腈化学生产工艺的垄断;生物基聚酰胺5X产品具有与传统通用型聚酰胺66接近甚至更优的性能,同时在大规模生产后具备成本优势。公司目前正处在产能快速扩张期。2021年年中公司乌苏工厂10万吨聚酰胺、5万吨戊二胺投产,并于三季度开始贡献收入。同时,规划产能中的4万吨癸二酸及2万吨长链生物基尼龙预计将于2022年下半年投产。此外,公司还有规划中的50万吨戊二胺及90万吨生物基聚酰胺产能。随着公司产能的逐步释放,规模效应将逐渐显现,未来成长性可观。公司未来有望实现秸秆高值化利用。公司未来有望利用合成生物学技术对秸秆预处理,实现提高密度、分布处理的目的,将原本“收、储、运”三个关键流程简化,简化传统的针对抑制剂和杂糖问题进行多步分离纯化的过程,实现秸秆的高值化、低成本综合利用。2、华恒生物(688639.SH):生物法丙氨酸龙头领跑全球,多项目布局建设中公司主要产品为生物法氨基酸,下游应用广阔。公司主要产品包括丙氨酸系列产品(L-丙氨酸产能2.3万吨、DL-丙氨酸产能2500吨、β-丙氨酸产能2000吨)、D-泛酸钙和α-熊果苷等,可广泛应用于日化、医药及保健品、食品添加剂、饲料等众多领域,核心产品L-丙氨酸的全球市场份额超过50%。公司以可再生葡萄糖为原料,实现发酵过程的二氧化碳零放排,与传统工艺相比,发酵法工艺每生产1吨L-丙氨酸可减少0.5吨二氧化碳排放。多个新项目在建,持续拓展产业链。据公司公告,IPO募投项目在巴彦淖尔新建L-丙氨酸、L-缬氨酸的交替式共用生产线,正在将厌氧发酵的成功生产经验应用推广。2021年6月,公司公告拟投资不超过2.5亿元建设“巴彦淖尔华恒生物科技有限公司年产1.6万吨三支链氨基酸及其衍生物项目”,进一步扩展业务范围并完善产业链,打造巴彦淖尔华恒生物大发酵基地。2021年8月,公司公告拟投资不超过2亿元建设“安徽华恒生物科技股份有限公司年产7000吨β-丙氨酸衍生物项目”,将持续扩大产能、提高市场占有率。3、华熙生物(688363.SH):全球领先的透明质酸生物发酵法生产企业公司是全球领先的、以透明质酸微生物发酵生产技术为核心的高新技术企业,透明质酸产业化规模位居国际前列。透明质酸具有良好的保水性、润滑性、黏弹性、生物降解性及生物相容性等理化性能和生物活性,在医药、化妆品及功能性食品中应用十分广泛。公司在国内率先实现了透明质酸微生物发酵技术产业化的突破,改变了我国以动物组织提取法生产透明质酸且主要依靠进口的落后局面。通过菌种诱变和高通量筛选、发酵代谢流调控、多尺度过程优化、动态补料控制等技术,极大提升了透明质酸的生产规模和质量,显著降低了生产成本,推动了透明质酸在各个领域的应用。4、梅花生物(600873.SH):全球领先的氨基酸营养健康解决方案提供商公司是一家专注于利用生物发酵技术进行研发、生产和销售多种氨基酸产品的生物科技公司。目前公司已形成以动物营养氨基酸、鲜味剂产品及人类医用氨基酸、胶体多糖等多个优势产品为核心的业务结构,拥有氨基酸生产领域最全的产品谱系,产品种类齐全、布局多元化,为全球100多个国家和地区多家知名客户提供各类氨基酸产品及使用解决方案。公司拥有生物发酵行业中最完整的、最长的产业链和配套设施,通过全系列的研、产、供、销服务,灵活满足全球不同客户的差异化需求以及快速创新的追求,专注于打造生物发酵和生物制药的高端产业平台。5、圣泉集团(605589.SH):国内合成树脂龙头,生物质化工前景巨大公司是以合成树脂及复合材料、生物质化工材料及相关产品的研发、生产、销售为主营业务的高新技术企业,其中酚醛树脂、呋喃树脂产销量规模位居国内第一、世界前列。在专注合成树脂业务的同时,公司将农作物废弃物玉米芯、秸秆中的半纤维素、木质素、纤维素三大成分提纯并高效利用,形成了拥有自主知识产权的生物质精炼技术,形成了生物质化工产业与合成树脂产业一体化产业链条,实现了对植物秸秆的循环利用。公司目前已实现秸秆的100%利用,并于2020年在大庆建设100万吨生物质精炼一体化项目,抢占生物质化工领域市场,推动企业转型升级。6、新日恒力(600165.SH):生物发酵法规模化生产月桂二酸公司是全球唯一采用生物发酵法规模化生产月桂二酸的企业。月桂二酸是一种合成长碳链聚酰胺(高级尼龙)、热熔胶、高级润滑油以及人工香料等多种产品的基础化工原料,化学合成法生产技术复杂、对环境要求苛刻、生产成本高、环境污染严重,而生物合成法则具有条件温和、常温常压、环境污染小、成本低等特点,可以大规模工业化生产。公司月桂二酸项目已成功投产。2019年3月公司年产5万吨月桂二酸项目全面启动,2021年10月初该项目正式投产,当前已开启二分之一的产能,公司将在保质的情况下逐步释放产能以达到规模化生产。7、嘉必优(688089.SH):生物发酵营业素先行者公司成立于2004年,主营业务包括多不饱和脂肪酸ARA、藻油DHA及SA、天然β-胡萝卜素等多个系列产品的研发、生产与销售,产品广泛应用于婴幼儿配方食品、膳食营养补充剂和健康食品、特殊医学用途配方食品等领域。公司是国内最早从事以微生物合成法生产多不饱和脂肪酸及脂溶性营养素的高新技术企业之一,建立了系统完整的技术平台,拥有多项具有自主知识产权的产品和技术。公司集成了工业菌种定向优化技术、发酵精细调控技术、高效分离纯化制备技术,通过可持续的微生物合成制造方式,为全球营养与健康领域的客户提供高品质的营养素产品与创新的解决方案。公司成立于2016年,致力于设计、开发、制造和销售新型生物基分子和材料,核心产品为在所有自然环境中均可自发完全降解的生物塑料PHA。2022年1月1日,公司首个产品管线——年产2.5万吨PHA的工厂在江苏省盐城市正式开工建设。除PHA外,公司正在围绕再生医学材料、美妆新功能成分、新型食品添加剂、工程益生菌等应用方向快速推进新产品的研发,并在商业模式上探索新的路径。公司于2020年3月完成千万人民币级的A+轮融资,2021年2月完成2亿人民币的B1轮融资,2021年8月完成4.3 亿人民币B2轮融资,2022年1月完成B3轮融资,至此公司B系列融资总额已达15亿人民币。公司成立于2015年,主要从事合成生物学技术方法的研发,并致力于将其应用于规模化生产。当前公司成功将合成生物学技术广泛应用于医药、农业、食品等领域,已建立了规模庞大的生物资源工程库平台,在生物合成、高性能细胞工厂设计创制以及产品规模化生产上积累了丰富经验,在酶、代谢途径和网路及生物底盘的设计与改造方面建立了坚实的基础。未来公司将全力打造专业的一站式酶催化技术和定制加工服务平台,并致力成为国内外领先的生物催化产品的供应商。公司于2018年6月完成天使轮融资1亿元,2019年4月完成2亿元A轮融资,2021年4月完成3亿元C轮融资,当前累计融资近7亿元。公司主营业务为利用合成生物学、蛋白质工程、高通量筛选及机器学习技术来发现和改造合成目标产物的代谢途径和关键酶,并利用代谢工程和基因编辑等技术来获得生产的微生物菌株。2021年7月,公司宣布完成超1亿美元的B轮融资,融资总额超1.45亿美元。行业跟踪-再生行业:政策推动行业发展,2022年全球需求加码双碳目标下,再生资源兼具碳减排和污染物减排效益。在全球碳减排的趋势下,中国提出双碳目标,2030年碳达峰、2060年碳中和净零排放。但从国家发展规划来看,我国目前正处于工业化以及城镇化进程的快速发展阶段,仍需要大量的基础设施建设,其产生的高碳排放量也成为双碳目标实现的阻力。由于再生资源回收利用可减少约25%的碳排放,同时兼具污染物减排的协同效益,因此在双碳目标实现过程中具有重要的战略价值。政策推动下,全球废塑料回收再生快速发展,前景广阔。欧盟2021年7月正式实行“最严限塑令”《反一次性塑料使用》规定,禁用已有其他材质代替品的塑料产品,包括:刀叉、餐盘、吸管、棉签、聚苯乙烯材质容器和水杯、气球和气球棒、塑料袋等。新规正式开始实行后,各成员国须采取必要措施来禁用相关一次性塑料产品,并减少目前市面上还未有代替品、但应逐步淘汰的塑料产品的消费。我国发改委与生态环境部2021年9月联合发布《“十四五”塑料污染治理行动方案》,计划到2025年,塑料制品生产、流通、消费、回收利用、末端处置全链条治理成效将更加显著,白色污染将得到有效遏制。届时预计国内废塑料回收再生量将达到2500万吨,较2020年1600万吨增长56%。欧盟政策驱动生物柴油市场发展,废油脂UCO潜力巨大。2021年7月,欧盟《可再生能源指令 (RED II)》修订,要求2030年可再生能源在欧盟总能源消费量中的占比从32%上升到40%;其中可再生燃料在运输部门的占比从14%上升到26%,提升接近一倍。此外,RED II指令将棕榈油和豆油制成的生物柴油被归类为导致森林砍伐和排放比使用化石燃料更多的温室气体的高风险产品,棕榈油生物燃料不计入其可再生能源和气候目标。目前,法国和奥地利已限制棕榈油作为基础生物燃料,比利时和德国也将分别在2022年和2023年陆续实施限制,届时将产生届时将产生至少400万吨的缺口。国内生产的废油脂生物柴油由于生产过程不产生额外碳排放,具有双倍减排计数优惠,在欧洲地区广受欢迎。由于中国独特的饮食结构,每年废油脂产生量可达1000万吨。但截至2020年,中国生物柴油行业产能仅218万吨,利用率约20%,未来原料可利用空间巨大。生物柴油方面,本周俄乌双方或进行停火谈判,胡塞武装提出休战,地缘冲突有所缓和;叠加3月31日晚USDA发布季度库存报告预计美豆种植面积增加,国际油价、粮食价格应声下跌。本周鹿特丹柴油价格为128美元/桶,环比下降-11.4%;生物柴油价格同步下跌,FAME、RME、SME、PME价格分别为1890.8美元/公吨、2115.8美元/公吨、1920.8美元/公吨、1845.8美元/公吨,环比上周分别下降-4.16%、-3.29%、-4.09%、-4.25%。原料端,本周食用油生物柴油原料价格回调;4月1日,CBOT玉米期货价格为733.25美分/蒲式耳,环比上周下跌-2.72%;CBOT大豆期货价格为1580.75美分/蒲式耳,环比上周下跌-7.54%;菜籽油期货价格为12446元/吨,环比上周下跌-3.44%;棕榈油期货价格为10922元/吨,环比上周下跌-5.67%。需求端,根据美国拜登政府提出的目标,预计2030年美国将可持续航空燃料供应将增加到30亿加仑,约占美国航空燃料需求的11%,较2020年供应量增长650倍,其中重要的原料来源即为废油脂生物柴油和植物油生物柴油。
再生塑料方面,进入2022年,R-PET仍保持价格飞涨。参考S&P Global的统计,4月2日亚洲再生透明PET片材价格已达到965美元/公吨,较上周增长1.58%。目前全球多家企业已陆续布局rPET产线,但短期内仍难以缓解供需失衡,欧盟限塑令的不断加码则加剧了再生料对原生料价格的倒挂。除rPET外,根据AIM发布的《2022年欧洲塑料机械回收》,预计2030年内,食品级rPP和rPS也会像rPET一样实现商业化和规模化。
【行业新闻】
可回收再生设计指南正式发布。3月31日,中国合成树脂协会团体标准《聚对苯二甲酸乙二酯(PET)容器包装产品可回收再生设计指南》、《高密度聚乙烯(HDPE)容器包装产品可回收再生设计指南》及其可回收再生设计评价项目线上发布会成功召开。塑料包装产品可回收再生设计指南将从源头设计开始,为塑料产品可回收再生性起到直接的指导作用,推动塑料循环经济,助力我国“双碳”目标的实现。(来源:废塑料新观察)
回收再生塑料绿色工厂行业标准征求意见。《物理回收再生塑料行业绿色工厂评价要求》行业标准制定项目已列入工信部2021年第二批行业标准制修订计划。该标准由全国塑标委再生塑料工作组提供标准制定技术指导。标准计划完成时间为2022年6月,目前该标准正在向社会征求意见。(来源:废塑料新观察)
生态环境部:明确加强微塑料等治理。3月30日,生态环境部召开3月例行新闻发布会,生态环境部固体废物与化学品司司长任勇介绍了新污染物治理和无废城市建设等相关工作情况。任勇强调,生态环境部会同发展改革委等13个部门正在研究行动方案,并提出了“十四五”期间我国新污染物治理工作总体要求、主要目标、行动举措和保障措施。(来源:废塑料新观察)
亨斯迈用回收PET生产发泡聚氨酯。3月30日,全球领先的特殊化学品企业亨斯迈集团与中国鞋垫生产商泉州邦尼携手合作,以基于亨斯迈专有泰络优聚酯多元醇的聚氨酯鞋垫泡棉系统助力邦尼生产出首款含回收成分的矫形鞋垫。(来源:废塑料新观察)
新西兰:明年可能推出“绿色生物燃料”强制令。根据《先驱报》,新西兰政府明年将推出“绿色生物燃料”强制令(biofuels mandate),规定汽油零售商必须使用生物燃料。该强制令要求燃料公司在普通汽油中加入一定比例的生物燃料,以减少排放。(来源:生物柴油网)
印尼4月生物柴油价格定为每公升15559盾。根据印尼商报,能源与矿产资源部将2022年4月在石化燃料中掺混的生物柴油市场指数价格设定为15559盾/公升(含运费),与3月14436盾/公升相比,环比增长+7.77%。该价格于2022年4月1日正式生效。(来源:生物柴油网)
日本财团进行可再生柴油渡轮海上试验。根据世界天然气网,3月29日日本航运公司商船三井及其集团公司MOL Ferry完成了日本首次使用可再生柴油的大型渡轮海上试验。该用于海上试验的可再生柴油由生物质制成,可以在不改变传统柴油动力船用发动机规格的情况下使用。(来源:生物柴油网)
【公司公告】
英科再生:公司发布2022年限制性股票激励计划(草案),拟向427名激励对象授予159.76万股限制性股票,约占激励计划草案公告时公司股本总额的1.20%;授予价格为28.90元/股。
卓越新能:公司发布2021年业绩公告,实现营业收入30.83亿元,同比增长92.91%;归母净利润3.45亿元,同比增长42.33%;基本每股收益2.87元。截至2021年末,公司总资产25.73亿元,同比增长12.52%;净资产24.70亿元,同比增长11.08%。公司拟向全体股东每10股派现金11.50元(含税)。
北清环能:公司全资子公司北控十方拟与天津德强、傅萍签订关于收购天津碧海100%股权的《股权收购框架协议》,在签订后9个月内收购天津碧海100%股权及前述股权相应的全部权益,天津碧海整体价值不超过6亿元;北控十方拟与天津碧海及其子公司天津德丰签订《油脂独家销售协议》,约定由天津碧海、天津德丰每12个月出售、供应给北控十方的油脂、地沟油不少于7200吨。




1、 英科再生(688087.SH):塑料循环再生利用领域龙头企业公司成立于2002年,产品种类丰富,覆盖再生塑料回收、再生、利用全产业链。公司立足于再生PS塑料产品,纵向深耕十余年;并横向开拓再生PET/PP/PE领域。公司目前PS塑料回收利用产能约10万吨,另有5万吨在建PET产能;预计未来5-7年PS和PET产能将分别达30和100万吨,并将向PE/PP/HDPE等多品种塑料拓展。在公司海外布局项目中,马来西亚英科5万吨/年PET回收再生项目相关产品已展开送样、第三方检测与认证工作;越南英科年产227万箱塑料装饰框及线材项目处于厂房基建阶段,预计今年末完成厂房设施建设。2、 卓越新能(688196.SH):国内规模最大的生物柴油生产供应商,产品远销全球公司2001年成立,拥有20年废油脂生物柴油生产经验,连续位列国内生物柴油生产企业产量和出口量第一。公司主打“两条腿”发展思路,一方面从事利用废动植物油生产生物柴油,另一方面延伸至生物质增塑剂、工业甘油、水性醇酸树脂等生物材料深加工领域。2020年,公司生物柴油产能38万吨、生物质增塑剂4万吨、工业甘油2万吨、水性醇酸树脂3万吨。美山基地作为公司产能拓展的重要基地,10万吨募投生物柴油项目21年6月份已投产;追加投资的10万吨项目也已开工建设,有望2022年底建成。此外公司拓展二代烃基生物柴油项目,产品较一代酯基生物柴油性能优良,可适用于航空煤油领域。3、嘉澳环保(603822.SH):环保型增塑剂领军企业,生物柴油布局建设公司成立于2003年,是国内最早研发、生产环保型增塑剂的领军企业。公司生物柴油产品中含硫量可达5ppm,同时符合欧美以及国六标准,业内领先。此外,公司与壳牌达成了5万吨/年,总额10.89亿元的生物柴油产品长约,包括产品销售及市场信息技术合作。公司未来将重点发展生物柴油业务,积极扩产并布局二代生物柴油。截止目前子公司东江能源拥有生物柴油及原料工业混合油产能15万吨,嘉澳新能源10万吨生物柴油项目正在建设中。预计2022年,公司生物柴油产能可达40万吨,2023-2024年更有百万吨扩产计划。在传统业务方面,公司现有环保增塑剂产能20.6万吨,2021年预计新增高端无苯环保增塑剂2万吨,填补市场空白。4、北清环能(000803.SZ):餐厨资源化业务稳扎稳打,废油脂供应领域潜力巨大公司是国内成长迅速的再生油脂供应商。截至2021上半年,公司餐厨资源化业务覆盖济南、青岛、烟台、太原与湘潭,拥有在运产能1480吨/日、在建及筹建产能350吨/日。公司餐厨收入中30%来自油脂收入,提油率对废油脂业务影响重大,至2021年提油率已超过4%。公司与大同驰耐、甘肃驰奈签署协议,独家供应油脂资源,每年可获得油脂、地沟油供应不少于1.2万吨。在再生油脂销售方面,2021年7月,子公司上海卢实与LITASCO卢克公司签订协议,预计公司全年餐厨再生油脂产品交付量将超3.6万吨。行业跟踪-碳纤维:行业高景气延续,国产布局迎来良机国产替代正当时,我国碳纤维产业迎来发展布局良机。碳纤维凭借优异性能在诞生之初便作为战略性物资应用于国防军工行业,之后随着商业化推进及成本的不断降低,碳纤维应用范围持续拓宽并逐步在民用领域大放光彩。随着海外供给收紧,国内供需缺口持续扩大,然而在我国政策和资金不断扶持之下,国产碳纤维提质、增量、降本进展加速。未来全球碳纤维行业的产能增量将主要由我国厂商贡献,2025年我国碳纤维产量有望实现8.3万吨,届时国产化率将进一步提升至55%,我国碳纤维产业具备崛起的主观能力和客观基础。本周碳纤维行业产量减少至691.74吨,较年初增加88.03吨。本周碳纤维库存量减少1吨,至12吨,较年初减少1吨,整体市场供应偏紧,产品去库存状态持续。本周碳纤维价格继续保持稳定,国产小丝束碳纤维T300(12K)、T700(12K)市场价格分别为190、260元/千克,国产大丝束碳纤维T300(25K)、T300(50K)市场价格分别为153、144元/千克,均与上周持平。碳纤维行业平均成本较上周增长0.16%至128.2元/千克,毛利下降0.35%至57.5元/千克。
【行业新闻】
发改委推出政策扶持,新能源规划利好碳纤维。3月22日,国家发改委发布《“十四五”现代能源体系规划》,文件指出要继续推进能源低碳转型,新能源方面要加快发展风电、光伏、水电、核电、生物质能、地热能等可再生能源,到2025年非化石能源消费比重要提升至20%左右。3月23日,国家发改委与国家能源局联合印发《氢能产业发展中长期规划(2021-2035年)》,对氢能产业高质量、可持续发展起到了重要的指导作用,通过扩大规模,光伏、风电可实现经济性的提升。“双碳”背景下,能源低碳转型是确定性的主线,碳纤维、光伏玻璃、玻纤将会持续受益需求的增长。(来源:金融界)
中集合斯康III型IV型复材氢气瓶生产组装线落户河北石家庄。3月28日,中集安瑞科与Hexagon Purus的氢能合资公司——中集合斯康与栾城区政府签订投资入驻协议,并将于2022年第二季度于石家庄开建氢气瓶生产线,产品组合将包括用于公路车辆、铁路和船舶应用的氢气瓶及供氢系统,中集合斯康在示范城市群内将积极为氢燃料电池汽车在城建物流、长途运输、远郊客运等不同场景应用提供高压氢气瓶及集成供氢系统设备。(来源:碳纤维人)
日本三菱化学推出最新款碳纤维增强热塑性树脂单向预浸料。日本三菱化学宣布新开发出一款Kyron ™ ULTRA型片状中间材料,采用工程塑料浸渍碳纤维制备而成。作为一种高性能碳纤维复合材料,它具有UD单向预浸料的形式,实现了高性能、高质量、高成型性等功能。Kyron™ ULTRA碳纤维复合材料利用UD预浸料作为碳纤维的各向异性材料的特性,大大扩展产品设计的范围,可广泛应用于航空航天、工业、移动、运动等领域。(来源:碳纤维及其复合材料技术)
【公司公告】
中复神鹰:公司将于4月6日起正式上市交易,本次发行价格为29.33元/股,发行后总股本9亿股,其中无限售条件的流通股为6884万股,占发行后总股本的7.65%。
吉林化纤:公司非公开发行股票申请获得中国证券监督管理委员会发行审核委员会审核通过,本次非公开发行股票数量为不超过3亿股,拟募集资金总额不超过人民币12亿元,其中9亿元将用于1.2万吨碳纤维复材项目。
浙江宝万:公司绍兴柯桥原丝项目正式启动,为宝武碳业打造碳纤维完整产业链,增强碳纤维生产的核心竞争能力奠定坚实基础。项目分期建设,一期计划在2023年底建成,2025年底实现全部规划产能。
韩国晓星:公司宣布投资3850万美元在全州基地新建第四条PAN基碳纤维生产线,新增产能2500吨。新线预计于2023年4月建成投产,届时,晓星先进材料的PAN基碳纤维总产能将达到9000吨。
【相关公司】
1、吉林碳谷(836077.BJ):国内碳纤维原丝龙头,乘大丝束时代东风。公司拥有领先的原丝生产技术,掌握并采用了成本更低、产量更大、质量更稳定的DMAC两步法生产工艺,且不断改善湿法纺丝技术,使得基础纺速和一级桶率持续提升。截至2020年,公司原丝产能位居全国之首,达到4万吨, 24K及以上大丝束原丝产品占据了产品结构的73%。根据吉林化纤集团布局,在“十四五”期间其碳纤维原丝产能将由6万吨扩张至21万吨,公司原丝龙头地位将进一步得到巩固。2、吉林化纤(000420.SZ):内部协同加快转型,进军碳纤维复材大有可为。公司为全球最大的粘胶长丝厂商,年产能8 万吨,相当于全球产能的1/3。公司深耕大小丝束,产品先发及产能优势明显:大丝束方面,目前公司拥有吉林宝旌49%股权,具备年产8000吨大丝束碳纤维原丝能力,并计划在2025年前产能达到1.2万吨/年,未来公司将重点突破大丝束领域的研发,实现35K、50K及75K产品的稳定生产。小丝束方面,全资子公司吉林凯美克聚焦1K、3K小丝束原丝生产,主要以航空航天、国防军工等特殊应用领域为主,目前第一条产线已投产试车,后续年产能将达600吨。原丝方面,下属公司吉林碳谷DMAC湿法两步法纺丝产品纯度高且复合性能优越,吉林碳谷当前拥有原丝产能5万吨居全国首位,至“十四五”末期,原丝产能有望扩产到21万吨。此外,公司基地位于国内主要碳纤维产业聚集区,区内聚集了一大批碳纤维原丝、碳纤维、碳纤维制品上下游企业,区位禀赋显著。与国兴材料达成的部分企业股份转让将助力公司进一步构建碳纤维一体化产业链,提高资源配置和利用效率,公司核心竞争力有望持续提升。3、精功科技(002006.SZ):碳化线整线设备核心供应商,国产替代需求加速释放。目前公司涉足氧化炉、碳化炉及石墨化炉等设备,主要产品为碳纤维成套生产线和碳纤维微波石墨化生产线,其中碳纤维成套生产线以12K、24K、48K及以上原丝为原料,具备年生产1千吨以上碳纤维生产能力,技术已趋于国际先进水平。当前碳纤维行业高景气,随着碳纤维战略物资地位的日渐稳固,叠加其在军用、民用等应用领域渗透率的快速提升,我们预计国产设备厂商有望迎来政策与下游应用的多项利好。国内碳纤维企业加速扩产预计将带来旺盛的国产设备需求,公司作为国内领先的碳纤维整线设备提供商有望充分受益。公司近年来在新产品研发、工艺技术升级改造等方面加大投入,建设中的1米宽幅1K/3K/6K小丝束碳纤维生产线项目未来将面向高端产品,部分设备如大丝束预氧炉已可接受客户定制,公司产品竞争力有望持续增强。4、中复神鹰(暂未上市):碳纤维民品龙头,产品升级扩产前景可期。公司作为我国碳纤维民品龙头,产品体系完备,系统掌握了T700级、T800级碳纤维千吨规模生产技术以及T1000级的中试技术,实现了高强、高强中模、高强高模型等各种性能级别产品的全覆盖,能够满足下游不同应用领域的需求。目前公司碳纤维投产产能已达9500吨/年,预计2022年第一季度将提升至1.35万吨/年,产能规模位居全国首位。近年来公司不断加大航空航天领域碳纤维的研发和销售力度,持续推进航空级碳纤维预浸料研发生产,销售收入及其占比不断提升。随着公司在碳纤维产业链及高端产品领域的布局进一步完善,未来公司毛利率提升空间广阔。公司科创板IPO已于2021年12月15日顺利过会,目前已收到证监会同意股票注册的批复。5、光威复材(300699.SZ):国产碳纤维行业龙头,军民双轮驱动打开广阔空间。公司是国内最早实施碳纤维国产替代的民营企业,也是目前国内碳纤维生产品种最齐全、生产技术最先进、产业链最完备的龙头企业。公司建立了从碳纤维到复合材料制品的完整产业链,产品覆盖原丝、织物、预浸料、碳纤维复材及制品等全产业链内各个阶段产物,成本优势日趋明显,并进一步向复合材料业务的系统解决方案供应商进发。公司军品业务层面先发优势显著。公司为最早一批军用国产碳纤维供货商,其中用于军机的小丝束T300产品已向军方稳定供货逾十年;T700级产品已得到下一代固体火箭发动机壳体认证,具备小批量试产能力;T800级产品率先完成了新型通用直升机工程化应用认证,具备批量化生产能力。高强高模型碳纤维产业化项目也已投产,M40J级/M55J级产品已开始应用在卫星等航天领域场景,放量在即。公司民品业务空间广阔。风电碳梁业务是公司民品板块的核心产品,公司当前拥有60条碳梁产线,对应1020万米产能,并有望延续高速扩张。同时,公司着力研发大丝束碳纤维,相关产品正快速积累技术优势,未来将逐步实现低成本、高端化的产品升级,并有望在民航领域进一步获取市场份额,未来发展态势向好。6、中简科技(300777.SZ):专注军工领域的国产军用碳纤维核心供应商。公司聚焦于中高端碳纤维业务,不断升级换代的产品也一直延续了高性能的定位。公司生产的ZT7系列产品通过2012年12月至2014年3月的多次验证评审,已全面应用于航空航天领域。公司产品通过验证早,先入优势明显,与航空航天领域的客户具有较强的粘性,现已成为我国航空航天领域碳纤维主要供应商,行业内竞争相对和缓。随着后续公司产能的逐渐释放,公司在中高端碳纤维产品的市场份额将进一步提升。

2022H2商用车销量低迷,蜂窝陶瓷产业链需求短期受到抑制,国六效应或延至22年放量。由于国六车型尾气处理成本比国五车型贵约2-3万元,部分柴油车消费者选择在7月1日节点前购车,导致柴油消费需求在上半年部分透支,6月起柴油商用车销量同比开始下滑。此外,部分地区对推迟柴油车国六时间节点,延期2-6个月不等,导致2021H2蜂窝陶瓷需求不及预期。但国六标准在全国的实行是必然趋势,蜂窝陶瓷递延需求将在2022年放量,我们看好长期蜂窝陶瓷产业链可观的增量空间及未来1年左右的预期反转趋势。地方政府调控高速通行费,差异化收费促进国六进化。近期天津市对高速公路过路费进行差异化收费,规定自2022年2月1日起,在某些特定路段国六排放标准车辆实施2折优惠,国五排放标准车辆实施8折优惠,国IV及以下排放标准车辆不再实施通行费优惠。过路费通常在运输成本中占比较大,此举将促进越来越多的货主选择国六车型进行运输。预期其他地方政府或效仿天津市差异化收费方法,加码国六执行力度。【相关公司】1、 万润股份(002643.SZ):三大业务齐头并进,打造新材料领先企业三大赛道前景良好,公司成长空间充足。公司凭借多年发展经验积累及与实控人企业的协同发展效应,目前形成了以信息材料、环保材料、大健康业务三大业务为主的发展体系,逐渐发展为国内新材料领先企业。短期内全球OLED投资进程加速,预计将带动公司OLED上游材料出货量快速提升;中长期背景下公司现已有OLED成品材料在下游厂商进行放量验证,如验证通过实现批量供应则有望快速提升市场占有率。同时公司研发投入水平较高,公司在钙钛矿太阳能电池、锂电材料、PI材料、OLED等领域布局了上百项专利,若后期转化为商业生产后长期成长空间较大。下游景气度复苏,短期疫情不改公司长期发展方向。受疫情影响,2020上半年特别是3-4月份海外终端需求出现大幅下滑,但在进入5月后海外需求逐步恢复。从下游汽车行业销量看,美国轻卡销量于下半年明显回升,全年销量较19年下滑幅度收窄至-9.7%;欧盟27国乘用车注册量较19年下滑幅度收窄至-35.2%,对比3-4月份分别有单月-67%和-79%的下滑;国内乘用车销量则自3月起快速提升,全年销量同比19年仅下滑6.1%。从下游液晶及OLED行业看,液晶电视面板出货量Q3表现尤为强势,同比转正,全年下滑幅度则收窄至-5.0%。我们认为国内外疫情对公司经营的影响逐渐减弱,短期疫情的影响不改公司长期成长方向。公司布局三大产业,其中显示材料行业市场巨大,公司作为国内龙头行业地位稳固,已发展成为全球领先的高端液晶单体供应商,并布局OLED材料产业链,同时积极扩展电子化学领域的聚酰亚胺、光刻胶等材料。环保材料行业受益于国六排放标准已进入分阶段实施期,沸石分子筛需求显著上升,疫情后需求恢复可期。公司沸石系列环保材料的生产技术国际领先,2015年非公开募集的二期扩建项目已于2020年底全部建成达预定可使用状态,同时公司于2018年启动了7000吨的新沸石环保材料建设项目,产能释放将匹配上行业需求的增长。大健康产业方面公司则经过多年对市场的开拓和对技术的储备,结合外协研发和兼并收购等方式,不断增强自身的实力,在新的发展契机即将来临阶段走在积累和发展的快车道上。2、国瓷材料(300285.SZ):公司处国内蜂窝陶瓷第一梯队,已获主流客户认证2017年并购王子制陶后,公司蜂窝陶瓷客户序列逐步壮大:商用车方面,公司国五产品(包括SCR、DOC、POC等)已进入国产商用车如玉柴、潍柴、一汽等企业的供应链,国六DPF产品已于下游客户紧密配合送样验证,为国六实施做好充足储备;乘用车方面,公司TWC产品已在北汽、东风、长安等多种车型实现批量供货,国六GPF产品已得到多个自主品牌的公告公示。目前公司蜂窝陶瓷市场市占率仅1%左右,我们预计随国六标准于2020年的全面切换,公司不仅受益于进口替代的增量逻辑,高附加值的国六产品还可为显著提升公司蜂窝陶瓷板块利润率水平。陶瓷粉体材料行业引领者,优秀研发能力奠定平台基石。公司以MLCC配方粉产品起家,是全球第二家掌握水热法量产高纯钛酸钡的企业。近年研发投入占营收比重大于6%、研发人员占比大于20%,逐步掌握氧化锆、氧化铝、稀土等材料粉体技术并外延整合优质粉体企业,证明自身强劲的技术迁移和资源复用能力,打造电子材料、催化材料、生物医疗材料等四大业务板块。5G+车用领域有望拉动公司MLCC配方粉放量。预计未来三年5G、汽车电子化、IoT等领域拉动MLCC需求年增8%/7%/8%,同时高容MLCC占比增加。公司为全球配方粉核心供应商,市占率超10%,板块业绩将步入新景气。携手高瓴及松柏资本,齿科材料成长空间或超预期。2020年高瓴和松柏拟通过增资、受让老股等方式对公司子公司爱尔创进行拟投资金额不超过7亿元的的投资。依托国内义齿龙头爱尔创,公司实现氧化锆粉体-义齿-数字化口腔服务全流程整合,开启线上销售和线下诊所及医院合作的新模式。此次引入战略投资对公司具有重要意义,使公司有望持续开展高效率的外延拓展。我们认为公司为国内领先的无机新材料平台,具备极强的研发实力,关键产品MLCC配方粉、蜂窝陶瓷、纳米级复合氧化锆等已达业内较高水平并获得下游重点客户认可。公司未来增长主要围绕消费电子、5G、新能源、口腔材料等具备较大发展潜力的领域,赛道空间广大,伴随下游需求的逐步释放,公司业绩将迈入新的台阶。3、龙蟠科技(603906.SH):国六时代到来,车用尿素推动业绩增长公司是润滑油与车用尿素龙头,2021年收购贝特瑞子公司贝特瑞(天津)与江苏贝特瑞100%股权,并在四川、江苏设立子公司投建磷酸铁锂产线,由此进入磷酸铁锂正极领域。根据高工锂电数据,贝特瑞2020年磷酸铁锂出货排名全行业第二,下游客户覆盖主流电池厂宁德时代、比亚迪等企业。公司通过收购龙头企业的形式介入磷酸铁锂行业,相比钛白粉、磷化工转型做磷酸铁锂的企业而言更具客户优势,同时产品开发期大大降低,或将更快受益本轮磷酸铁锂景气周期。8月18日公司发布公告,控股子公司常州锂源拟于新洋丰签署《磷酸铁项目投资合作协议》,计划共同投资2亿元在湖北荆门市成立合资公司湖北丰锂新能源科技有限公司,常州锂源拟认缴出资8000万人民币,持有标的公司40%股权。合资公司设立后将立即启动5万吨/年磷酸铁项目建设(一期规划),预计将于2022年2月建成投产。此外据新洋丰披露,项目二期规划有15万吨磷酸铁及配套150万吨/年选矿、30万吨/年硫铁矿制酸、40万吨/年硫磺制酸、20万吨/年磷酸、30万吨/年渣酸综合利用及100万吨/年磷石膏综合利用项目,预计于2022年12月建成投产,项目计划投资总额为25-30亿元人民币。4、奥福环保(688021.SH):蜂窝陶瓷龙头,受益国六标准执行司深耕蜂窝陶瓷多年,主营产品包括蜂窝陶瓷载体、VOCs废气处理设备以及节能蓄热体,其研发出的大尺寸蜂窝陶瓷载体打破多年来国外巨头康宁和日本NGK的垄断,孔密度、壁厚、热膨胀系数等相关性能指标已经接近康宁的NGK标准,实现进口替代。并且经过多年的攻关,公司逐步打入中国重汽、潍柴动力、玉柴动力、康明斯、戴姆勒等全球头部车企的供应链。公司蜂窝陶瓷产品具有较高的性价比,随着国内柴油车“国六”标准的逐步落地,有望超越行业增速。5、艾可蓝(300816.SZ):尾气处理龙头,掌握催化剂核心技术司的主要产品包括柴油机选择性催化还原器(SCR)、柴油机颗粒捕集器(DPF)、汽油机三元催化剂(TWC)等产品,拥有尾气后处理催化剂配方及涂覆技术、电控技术、匹配及标定技术和系统集成技术四大核心技术。公司在掌握催化剂等核心技术的同时,也拥有较强的供应系统集成的能力。公司于2021年7月发布限制性股票激励计划,业绩考核目标为2021、2022年收入分别不低于9、18亿元,此次股票激励计划覆及公司大部分员工,有望充分调动员工积极性。
行业跟踪-可降解塑料:首个全球限塑令通过决议,行业将迎来高增长可降解塑料的推行是长期确定性的趋势,短期禁塑令执行力度低于预期。自2021年1月1日新版禁塑令颁布以来,可降解塑料持续受到制造业和资本市场关注,但由于商业化程度较高的PLA和PBAT目前仍比传统塑料PP、PE贵,因此终端切换可降解塑料动力不足,叠加原料涨价较多,导致2021年多数可降解塑料厂在盈亏线挣扎。但短期市场低迷并不能改变长期禁塑大趋势,叠加当前许多大化工企业进军可降解塑料领域,未来两年将是PBAT投产大年,PLA也有望在国内企业突破丙交酯技术后迎来规模化扩产,可降解塑料将开启千亿级市场。首个全球限塑令通过决议,可降解行业或将迎政策面硬约束。2月28日至3月2日,联合国环境大会讨论制定首个应对塑料危机的全球协定,并通过《终止塑料污染决议(草案)》协议。该决议旨在设立一个政府间谈判委员会,目标是在2024年底前完成一项具有法律约束力的国际协定,以解决塑料污染治理问题。当前可降解塑料价格仍相对较高,国内虽然于2021年正式实施禁塑令,但执行力度不严导致可降解塑料需求仍然低迷,当前行业仍需要政策面约束。预计随着全球限塑政策的逐步落地,可降解塑料需求将迎大幅增长。
本周PBAT价格稳定运行,与上周持平。本周PBAT价格稳定。2022年4月2日华东市场报价2.5万元/吨,与上周持平。原料方面:本周国内BDO市场跌势延续,华东市场报价26400元/吨,跌幅2.94%;己二酸价格延续走弱,华东报价12400元/吨,较上周下降500元。成本面无支撑。供给方面:市场供应方面稳定,较上周暂无变化,目前开工较去年同期相比有所偏低,若后续原料价格持续回落,留出足够的利润空间,将缓解开工偏低的情况,新建项目也有望如期投产。 需求方面:下游需求尚未全面开启,预计随着全球限塑令的推行,需求会有回暖。价差方面:本周PBAT-BDO-己二酸-PTA价差为2639元/吨,周环比+37.85%。
【行业新闻】
宇新股份12万吨BDO项目上半年动工。在紧邻年产10万吨丁酮联产13万吨乙酸乙酯项目的工地上,宇新股份布局了一个年产12万吨BDO项目。该项目计划投资6亿元,目前正在开展前期工作,计划今年上半年动工建设。(来源:生物降解材料研究院)
海南星光建设全降解塑料产业链项目。海南星光拟总投资20.50亿元,建设全降解塑料产业链项目(一期),生产规模为顺酐20万吨/年,BDO5.5万吨/年,顺酐催化剂300吨/年。该项目总进度20个月,2023年5月建成试车。(来源:CCUS和生能源材料)
山西华阳6万吨PBAT环评获批。山西省生态环境厅拟批准华阳新材料6万吨/年PBAT项目环评文件。项目主要建设年产6万吨PBAT生产线一条,总投资4.06亿元。(来源:CCUS和生能源材料)
扬州惠通年产10.5万吨聚乳酸环评公示。扬州惠通生物新材料年产 10.5 万吨聚乳酸的生物可降解塑料及其系列产品研发生产项目环评已受理,本项目拟采用公司自主研发丙交酯生产技术,通过外购乳酸、改性助剂等原料,分两期建设10.5万吨(3.5万吨+7万吨)聚乳酸及3万吨(1万吨+2万吨)配套生物可降解改性塑料,该项目总投资17.81亿元。(来源:CCUS和生能源材料)
丰原携手海螺集团皖北建乳酸、聚乳酸、多元醇、聚氨酯等项目。临泉县政府、丰原集团、海螺集团达成一致意见,在临泉县投资上马生物基新材料项目,拟建分布式糖厂和乳酸、聚乳酸、多元醇、聚氨酯等生产项目,打造生物基新材料产业基地,积极谋划建设生物基新材料下游产业园等项目,加快生物制造产业“1+N”集群式发展。(来源:聚如如咨询)
道恩股份12万吨PBAT一期项目下半年投产。道恩股份举行2021年业绩网上说明会,公司计划2022年6月份改性塑料项目投产12万吨,2022年下半年12万吨生物降解PBAT一期6万吨投产,2022年俄罗斯改性塑料项目投产1万吨,2023年重庆改性塑料项目投产10万吨。
【公司公告】
金丹科技(300829.SZ):公司发布2021年年度报告。2021年公司实现营业收入14.38亿元,同比增长40.02%;归母净利润为1.33亿元,同比增长10.94%。
金发科技(600143.SH):公司全资子公司通过高新技术企业认定,可连续三年(2021-2023)按15%的税率缴纳企业所得税。
【相关公司】
1、金丹科技(300829.SZ):国内乳酸龙头,向下延伸可降解塑料打开成长空间司是国内最大的乳酸及其衍生品生产企业,主要利用现代生物技术大规模生产各种级别的乳酸、乳酸盐及乳酸酯类等,产品销往全球80多个国家和地区。公司目前具备L-乳酸产能10.5万吨/年、乳酸盐产能2.3万吨/年,同时年产5万吨高光纯L-乳酸和1万吨聚乳酸的高端生产线正在建设中。今年3月24日,公司发布公告拟投资3亿元建设年产6万吨生物降解聚酯及其制品项目,实现年产PBAT6万吨。同时公司计划将PBAT产品与PLA、淀粉等材料共混,进一步生产生物降解改性材料和生物降解制品。自2021年最强限塑令落地以来,我国可降解塑料制品需求快速拉升,其中最为主流的可降解塑料便是由PBAT与PLA或淀粉共混改性而制成的生物降解塑料。公司本次投资是基于公司现有PLA及其原材料丙交酯产能技术的前瞻性布局。聚乳酸中间体丙交酯技术壁垒高,公司具备产业链一体化优势。聚乳酸生产的主要技术壁垒在于中间体丙交酯的合成。公司与南京大学合作成立的金丹生物新材料子公司引进“生物质有机胍催化法合成光学纯L-/D-丙交酯的工艺方法”和“一种粗品环酯纯化制备高纯度环酯的工艺”两项专利,实现丙交酯的合成技术突破。公司打通乳酸-丙交酯-聚乳酸全产业链,打破国外产业垄断,利用自有乳酸的原材料优势,未来聚乳酸产品盈利能力可观。2、金发科技(600143.SH):改性塑料龙头,可降解塑料领军企业公司是亚太地区规模最大、产品种类最为齐全的改性塑料龙头,逐步实现从改性塑料到化工新材料的升级和功能材料向结构材料的拓展,产品结构不断向产业高端和高附加值方向延伸。公司的产品以自主创新开发为主,覆盖了改性塑料、完全生物降解塑料、高性能碳纤维及复合材料、特种工程塑料和环保高性能再生塑料等五大类自主知识产权产品。公司目前建立了完全生物降解塑料从开发到工业化生产的完整流程,掌握PBAT、PLA、PBS等多条路线及多种差异化系列产品,随着3万吨PLA及18万吨PBAT新增产能投放,公司龙头地位及规模优势将进一步得到巩固。3、中粮科技(000930.SZ):掌握丙交酯核心技术,进军可降解塑料领域有望快速放量公司是最早布局PLA的三家企业之一,由于此前未打通丙交酯技术,外购丙交酯导致利润不高。目前公司正在全力攻关丙交酯合成技术,3万吨丙交酯预计将在2022年投产。目前子公司吉林中粮生物材料有限公司具备3万吨/年聚乳酸原料和制品的生产加工能力。公司预计2022年再投产30万吨/年PBAT以及10万吨/年PLA项目。
行业跟踪-纯化过滤:传统领域稳步增长,新兴领域快速突破
随着下游新兴市场的快速发展,纯化过滤行业迎来需求端旺盛增长。在现代工业生产中,纯化过滤技术应用于各个行业。在传统领域(65%),下游热电行业每年4%的平稳增长促使工业水处理树脂需求量稳步攀升。在新兴领域(35%),高锂价与新能源汽车的渗透率提升推动了盐湖提锂开发的高增长,为提锂树脂/膜创造超过10%的年增长率。而在超纯水板块,5G、物联网等底层技术的发展也为芯片行业增长奠定基础,预计全球芯片年增长率将达到7.5%;参考Verified Market Research对超纯水市场的预估,2020-2027年市场规模CAGR 6.9%,2027年超纯水市场规模可达114.1亿美元。因此,我们对纯化过滤行业未来发展的判断基于传统领域的稳定增长和新兴增量领域的快速崛起,尤其是盐湖提锂和半导体板块,将为上游纯化过滤行业贡献最重要的需求增量。蓝晓科技高端水处理实验室顺利验收。3月23日,公司董事长高月静博士邀请总部各部门负责人参观高端水处理实验室、深入了解超纯水制备工艺,对超纯水实验线进行验收,并规划实验室今后的发展方向。(来源:蓝晓科技)